Nosso paciente recebe o diagnóstico de doença renal crônica (DRC) e automaticamente recebe orientação de restringir alimentos riscos em potássio, está certo isso?
O papel da ingestão de potássio no manejo da progressão da DRC é tema de grande relevância na nefrologia. Apesar da recomendação de restrição de potássio para evitar hipercalemia em pacientes com DRC, novos estudos trazem evidências de que essa prática pode comprometer benefícios nutricionais essenciais.
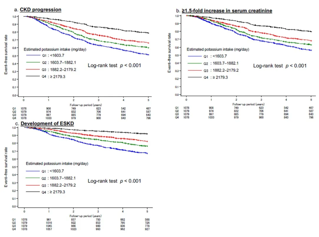
Resumo do estudo:
Esse estudo japonês publicado no NDT ([link](https://academic.oup.com/ndt/advance-article/doi/10.1093/ndt/gfae277/7911851?searchresult=1)) avaliou de forma prospectiva dados de 4314 pacientes com DRC de múltiplos centros, acompanhados por cinco anos, para investigar a relação entre ingestão estimada de potássio e progressão da DRC (Fukuoka Kidney Disease Registry study). A ingestão de potássio foi avaliada a partir de amostras de urina, utilizando a fórmula de Tanaka ([link](https://pubmed.ncbi.nlm.nih.gov/11850766/)). A progressão da DRC foi definida como aumento de 1,5 vezes nos níveis de creatinina ou evolução para estágio terminal da doença renal (ESRD).
Os resultados demonstraram que pacientes com menor ingestão estimada de potássio apresentaram maior risco de progressão da DRC. O grupo no quartil de menor ingestão de potássio (Q1) teve um risco 24% maior em comparação ao quartil mais elevado (Q4) (HR ajustado: 1,24; IC 95%: 1,03-1,48). Além disso, cada redução de um desvio-padrão na ingestão de potássio foi associada a um aumento de 10% no risco de progressão.

O estudo sugere que dietas pobres em potássio podem estar associadas a estados nutricionais desfavoráveis, como menores níveis de albumina e colesterol LDL. Essas condições refletem em desfechos negativos para a saúde renal. É importante destacar que os resultados também apontaram que a ingestão moderada de potássio, ajustada às condições clínicas individuais e aos níveis séricos de potássio, não está associada a aumento significativo de hipercalemia.
Impacto prático:
Esses achados reforçam a necessidade de uma abordagem personalizada no manejo dietético de pacientes com DRC. Restrições severas e universais podem privar os pacientes de nutrientes essenciais, prejudicando a progressão da doença. Nefrologistas devem equilibrar o controle de potássio com uma dieta nutricionalmente rica, ajustando as recomendações de acordo com o histórico clínico de cada paciente.
Uma dieta rica em alimentos que contêm potássio está associada a um melhor controle pressórico, além de oferecer maior valor nutricional e promover escolhas alimentares mais saudáveis.